On the 2nd April, colloquially now ‘Liberation Day’, Trump proclaimed that he was levying an assortment of tariffs across the international landscape. Trump claims this is due to current tariffs levied by other countries on American exports, and so these are ‘reciprocal’ tariffs. In this piece, we aim to explain the theory behind the tariffs and what they mean for the global markets moving forward. As this is an ever-evolving story, some of the figures in this piece may become outdated almost immediately after publication. We would recommend keeping the theory in mind, rather than focusing on the numbers quoted within this piece.
Understanding the Logic Behind the Tariffs
Whilst there is much talk from the White House, claiming that America is being shortchanged with international tariffs, this isn’t quite the truth. Whilst there are some tariffs on US trade, they’re much smaller than what has been presented in the media recently. The real driver appears to be the US’s overall trade deficit, and in January of this year, this widened by a record margin to $131.4bn1. Some economists have suggested that the reason behind the swell was a pre-emptive move by companies to stockpile goods in anticipation of the impending tariffs. China, Mexico and Europe have some of the largest trade surpluses with the US, meaning that they export more to the US than the US exports to them, and are therefore the primary targets of Trump’s tariffs.
12ea.png)
When we take into account the sheer scale of the trade deficits with the countries above, it begins to click into place why Trump’s administration has targeted certain regions in particular. Below is a table representing the various tariffs on countries vs. their share of US imports. You should be able to see a number of familiar names compared to the graph above.

Source: White House, via BBC News. Data reflects countries and territories affected by the reciprocal tariffs policy, excluding Canada and Mexico. Import figures are for 2024. Updated 10 April 2025.
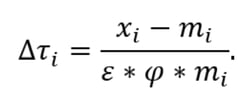
So, how were these ‘reciprocal’ tariffs calculated by the White House? In response to much speculation, the administration released the equation that they have devised for these international tariffs:

Source: Office for United States Trade Representative
Whilst this might appear complicated, once broken down the logic for the equation helps highlight the motivations behind these tariffs. The top line simply refers to the trade deficit between the US and a given country, exports minus imports. The bottom line is even more simple; once we have the trade deficit, we divide this by the total goods imported from the given country, then we finally divide this by 2.
For example, in the case of Japan, the US imported $148 billion worth of goods and exported $76 billion, resulting in a trade deficit of $72 billion. To calculate the tariff, we take this trade deficit and divide it by the total value of imports from Japan: 72 divided by 148. Then, we divide that result by 2. This gives us a final tariff rate of approximately 24%.
When we break the equation down to its most simple components, it’s not actually about the ‘existing tariffs’ on the US, but about the trade deficit that the US has with many countries.
Is the Trade Deficit Really an Issue?
Whilst this may be a contentious point for the current US administration, the truth is that the US running a trade deficit is the norm, rather than the exception. Trade deficits themselves are not inherently positive or negative; like most things, the reality is more circumstantial. A trade deficit allows a country to consume more goods than it produces, which can boost economic growth and improve living standards. The US has actually run a trade deficit since the 1970s2, and some economists argue that this is a sign of a strong economy. The Congressional Research Service (CRS) has observed that “most economists conclude the trade deficit stems largely from U.S. macroeconomic policies and an imbalance between saving and investment in the economy”. The CRS also stated that “trade creates both economic benefits and costs, but that the long-run net effect on the economy as a whole is positive”.
Potential Impacts of Tariffs
Whilst there is plenty of discussion surrounding the tariffs at the moment, it’s almost impossible to predict what the impact of these will be for global investors. In terms of economic impact, there is likely to be increased market volatility due to the uncertainty of the tariffs and escalation. There may also be a negative impact on global growth, with countries reliant on their exports to the US particularly hit. The lead on from this could lead to increased costs for supply chains, which will lead to earnings pressures for the companies exposed to the tariffs.
From a monetary policy perspective, the potential impacts are also rather diametrically opposed. Tariffs can cause inflation and disinflation depending on the broader circumstances. The simple explanation is that tariffs increase costs as import prices increase, leading to businesses passing on these costs to consumers, causing an inflationary effect. Central banks may then look to tighten monetary policy, i.e. increase interest rates, to help combat increasing prices. On the other hand, consumers may seek to reduce their demand for these products, which could hinder global growth and lead to lower prices. Consequently, central banks would aim to decrease interest rates in an effort to stimulate the economy and, therefore, spending.
This may all seem rather downbeat, but are there any situations where the tariffs could be positive? The answer is that benefits are unlikely, but there may be some long-term positives for the global economy. Tariffs might lead to companies looking for alternative supply chains, helping to reduce overdependence on a single country. Regional trade may be boosted, leading to new trade alliances and agreements between neighbouring countries. Perhaps the most interesting potential outcome is that these tariffs may lead to renewed global negotiations and open the door to advancing truly free trade without tariffs.
The reality is that no one really knows where these tariffs are going and what their impacts may be. Market volatility is high, with tariffs consistently changing on almost a daily basis, leaving most investors cautious. Staying invested and focusing on the longer term is crucial in times like these, and it can be harder than ever to trust the process. But with strong, evidence-based plans backed by historical market data, clients should feel confident that these market dips are just a tiny part of their overall investment story.
References:
- KPMG, 2025
- World Economic Forum, 2022